Content
About the statistics
Definitions
-
Name and topic
-
Name: Index of industrial production
Topic: Energy and manufacturing
-
Next release
-
-
Responsible division
-
Division for Business Cycle Statistics
-
Definitions of the main concepts and variables
-
Long-term indices: Long-term indices are published together with reviewed figures on the Internet for the overall index, aggregates, main activities and main industrial groupings.
Local unit (establishment): An enterprise or part of an enterprise that is located in one particular place and can be identified geographically.
Enterprise: The smallest combination of legal units that is an organisational unit producing goods or services and that benefits from a certain degree of autonomy in decision-making.
NACE: Standard for industrial classification used by EUROSTAT. Based on the UN's international standard for industrial classification, ISIC Rev. 4.
Standard Industrial Classification 2007 (SIC2007) , which is a Norwegian adaptation of EUROSTAT's NACE Rev. 2. SIC2007 forms the basis for coding units according to principal activity in the Central Register of Establishments and Enterprises.
Processing level: The most detailed level of the statistics.
Unadjusted figures (original series): Raw data figures with primary information from the respondent.
Calender adjusted series (pre-adjusted series): Adjusted for working-days, moving holidays and fixed public holidays in Norway.
Seasonally adjusted figures: Pre-adjusted series for which seasonal effects have been removed (included length of month). X12-ARIMA is used to calculate these figures.
Imputation: An estimated value for a missing observation.
-
Standard classifications
-
The survey is classified according to the Standard Industrial Classification 2007 (SIC2007). This is a Norwegian adaptation of NACE Rev. 2. SIC2007 forms the basis for classifying units according to principal activity in the Central Register of Establishments and Enterprises (CRE). The use of common standards is essential in order to enable the comparison and analysis of statistical data at national/international level and over time.
The survey is also classified according to EUROSTAT's end-use categories (Main Industrial Groupings, MIG). The end-use categories (MIGs) are based on the 3-digit level industrial groupings in SIC 2007. Six end-use categories are included in the survey:
MIG Code
Description
E1
Intermediate goods
E2
Capital goods
E3
Consumer durables
E4
Consumer non-durables
E5
Consumer goods (E3+E4)
E6
Energy goods
The following table summarises the most important industries included in the different end-use categories:
MIG
Main industries included
Intermediate goods
Support activities for oil and gas extraction, wood and wood products, Pulp, paper and paper products, Basic chemicals and Basic metals
Capital goods
Fabricated metal products, Machinery and equipment and Building of ships, oil platforms and modules
Consumer durables
Production of furniture
Consumer non-durables
Food products, Printing and reproduction and Pharmaceuticals
Consumer goods (E3+E4)
Food products, Printing and reproduction, Pharmaceuticals and Production of furniture
Energy goods
Oil and gas extraction, Refined petroleum products and Electricity, gas and steam supply
For a complete description of the industries covered by each MIG, see Commission regulation (EC) No 656/2007 or KLASS in the following link: https://www.ssb.no/en/klass/klassifikasjoner/6/varianter/1121.
The objective of this classification is to provide an activity breakdown of NACE, which is an intermediate level between the Sections (for example C: Manufacturing) and the Subsections (for example CA: Manufacture of food products, beverages and tobacco). The classification of the different units is based on the application of the produced products. It should be noted that the MIGs are not comparable in size, and the consumer durables heading in particular is smaller than the others.
Administrative information
-
Regional level
-
National level only
-
Frequency and timeliness
-
Monthly. Published approximately 35 days after the end of the relevant month.
-
International reporting
-
The Index of Industrial Production is reported to EURO STAT on a monthly basis.
-
Microdata
-
Non-edited and edited micro data are stored in accordance with Statistics Norway's guidelines for storing computer files.
Background
-
Background and purpose
-
The Index of Industrial Production is part of a system of short-term statistics compiled to monitor the economy. The primary goal of the Index of Industrial Production is to monitor the development of added value (production minus intermediate consumption) in the industries covered. However, this is quite difficult on a monthly basis, so the index maps out the development of production in oil and gas extraction, mining and quarrying, manufacturing and electricity and gas supply. No calculations are made for the intermediate consumption, which it is assumed develops in the same manner as the production. The survey is financed exclusively by government appropriations.
As from January 2009 all results will refer to Standard Industrial Classification 2007 (SIC2007) . The historical series are recalculated according to this version of SIC, and results dating back to 1995 and 1990 (totals) are available in the Statbank database.
-
Users and applications
-
The Index of Industrial Production is used in the quarterly national accounts in Statistics Norway to help calculate the gross domestic product. Preliminary figures for 2016 show that added value from the activity covered was approximately 22 per cent of the gross domestic product. It is also an important input to prognoses on the industrial production carried out by other authorities and organisations in Norway.
-
Equal treatment of users
-
No external users have access to the statistics and analyses before they are published and accessible simultaneously for all users on ssb.no at 8 am. Prior to this, a minimum of three months' advance notice is given inthe Statistics Release Calendar. This is one of Statistics Norway’s key principles for ensuring that all users are treated equally.
-
Coherence with other statistics
-
The Index of Industrial Production is a leading indicator of future production of oil and gas extraction, mining and quarrying, manufacturing, electricity and gas supply, and is one of several indicators that monitor the performance of the economy. The correlation with :
- Statistics on turnover
- Statistics on new orders
- Quarterly Investment Statistics Manufacturing, Mining and Quarrying and Electricity Supply
- Economic trends for Norway and abroad
- Industrial statistics. Structural data
- Quarterly national accounts
- External merchandise trade
is utilised for control purposes. The Statistics on turnover for Oil and gas extraction, mining and quarrying, manufacturing, electricity and gas supply and the Production Volume Index have joint data collection.
-
Legal authority
-
The Statistics Act 21st of June 2019 number 32, §10 and §20
-
EEA reference
-
Council Regulation (EC) no. 1165/98 of 19 May 1998 concerning short-term statistics. Commission Regulation 586/2001. Commission and Council Regulation 1158/2005. Commission and Council Regulation 1983/2005. Commission Regulation 1503/2006. Commission Regulation 656/2007. Commision Regulation 472/2008.
Production
-
Population
-
The population covers all establishments in mining and quarrying (SIC 05, SIC 07-08, SIC 09.9), oil and gas extraction (SIC 06, SIC 09.1), manufacturing (SIC 10-33) and electricity and gas supply (SIC 35), see Standard Industrial Classification 2007 (SIC2007) . The Central Register of Establishments and Enterprises defines the population, and the establishment is the observation unit in the survey. (See Definitions for a complete definition of establishment and enterprise.)
-
Data sources and sampling
-
The survey uses production data collected by questionnaires from the units included in the sample. Monthly production figures on oil and gas extraction in Norway are transmitted electronically by the Norwegian Petroleum Directorate. Production figures for electricity supply from water resources are provided by the Norwegian Water Resources and Energy Directorate and the Division of Energy and Industrial Production Statistics in Statistics Norway.
The sample includes about 1,800 establishments (2016), which includes all establishments with 100 employees or more, or with a turnover of at least 10 per cent of the publishing level. The remaining units are drawn based on stratification and optimal allocation, proportional to the size of the unit measured by the number of employees. The sample does not include establishments with less than ten employees. In addition, the whole population within electricity, gas and steam as well as within extraction of crude petroleum and natural gas is covered.
-
Collection of data, editing and estimations
-
The survey is based on data collected by questionnaires. The questionnaires are returned electronically via Altinn. The questionnaire is made available on Internet at the end of the relevant month. The deadline for answering the questionnaire is normally the 15th of the following month. Establishments are notified by SMS or e-mail when the questionnaire is available in Altinn. The establishment's local office fills in the questionnaire. Establishments that fail to return the questionnaire receive a compulsory fine within a week of the deadline, whereupon a new deadline of seven days is set.
The questionnaires are downloaded from Altinn, and the data are automatically checked for duplicates. Where there are significant deviations, the establishment is contacted. In cases of extreme deviations, further editing is carried out. Comparisons with the annual industrial statistics are also carried out.
First stage of index compilation
Estimated production values in fixed prices are calculated for the observation units. For the first stage, the indices at group or processing level are estimated by summing up these production values. The values of the reference period are then set in relation to the value of period t-1. The values of period t-1 are estimated average production values from the previous year. This provides the short-term index for the current month.
(1)

Qm = short term index of production value in fixed prices for month m
p0 = price in the previous year
qm = quantity in reference period
q0 = average monthly quantity in the previous year
The prices in the calculation of the short-term index are derived from statistics of external trade in goods, indicies of volume and price as well as the producer price index of oil and gas, manufacturing, mining and electricity in Norway. Some prices are also collected directly from the relevant enterprises in Norway, if not available in the statistics stated above. The prices are updated yearly.
Production is measured using two types of indicators - reflecting (more or less) the change in gross production/turnover. The indicators are physical output and hours worked. The production is measured by physical output in the following industries (SIC 2007: 05-08, 10-12, 16-17, 19-24, 27.3, 27.5, 31, 32 (ex. 32.5) and 35)). The calculations follow a set of identical observation units over a period of 2 years and an activity classification (SIC 2007). No adjustments are made for quality changes in the relevant products over time.
The production is measured by hours worked in the engineering industries (SIC 2007: 25-27 (ex. 27.3 and 27.5), 28-30, 32.5 and 33)) and in publishing and printing (SIC 2007: 18). The production is also measured by hours worked in support activities from petroleum and natural gas extraction (SIC 2007: 09.1) from 2010 and in manufacturing of textiles, wearing apparel and leather and related products (SIC 2007: 13-15) from 2011.
New projects in industries with hours worked as indicator are intercepted as they start up, as long as the project is carried out by establishments covered by the sample. It is the total number of hours carried out in the survey period that are reported, independent of which project the hours are used on.
Numbers of hours worked from contracted workers are collected from 2011. Numbers of hours worked from contracted workers are included in the calculation of the index of production from 2012.
Numbers of hours worked from the officials are collected from 2014. As of 2015 are these included in the reporting and the calculations.
Change in productivity from year to year is taken into account, by fixed factors, when using the work input as basic information for compiling the index. The use of this type of indicator implies that output changes proportionally with input.
These factors are updated in 2017 and are based on numbers from Annual final national accounts . Value added per hour worked in basic value, annual change in volume in per cent from the last 5 years are used.
Second stage of index compilation: Index of Industrial Production at higher aggregation levels
Production indices for the industries at the 4-digit level can be aggregated according to the hierarchical structure of NACE Rev. 1 to indices at higher levels and also to main industrial groupings (See Defenitions). The share of added value of each class in the base year is used for the calculation of the aggregates. Last available value added from structural data are forcasted to base year by numbers from quarterly national accounts. In the case of a chain index, such as the Production Volume Index, the weights are updated annually.
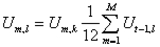
(2)

Um,k = unadjusted short-term index aggregated over the underlying sectors, month m
BAs,0 = added value at factor cost, sector s, weight-year (t-1)
Us,m,k = unadjusted short-term index of sector k and month m
The calculation applies a Lays Peres formula.
Chaining to long-term indices:
Unadjusted short-term indices will be chained to the long-term index (base 2005) at various levels. This must be done because the bases of the short-term indices and the weights change once a year, and to evaluate the results of the index calculation over time. Chaining to the long-term indices is done using the following formula:
(3)

where
Um,k = short-term index, unadjusted, month m
Um,l = long-term index, unadjusted, month m
Ut-1,l = long-term indices, unadjusted, average last year
-
Seasonal adjustment
-
The production output will normally vary from month to month in several industries due to factors such as the length of the month, number of working days and holidays such as Easter. Pre-adjusted series are calculated and published in order to deal with some of these effects (Calender adjusted series).
Since the effect due to the length of month is the same every year, it should not be included in the calender component, but in the seasonal component and be disregarded in the calender adjustments. This has been done from 2007.
Monthly time series are often characterised by considerable seasonal variations, which might complicate their interpretation. Seasonal effects are therefore corrected for and seasonally adjusted figures are published.
For more details about seasonal adjustment of the Index of industrial Production, see the separate tab " About seasonal adjustment".
-
Confidentiality
-
Confidential micro data: According to § 2-4 of the Statistics Act, collected data are subject to confidentiality and are to be kept or destroyed in a secure manner. Any use of the data must be in accordance with the rules set out by the Data Inspectorate.
Time series that are not to be published: The publication of data is subject to the provisions of § 2-6 of the Statistics Act. The main rule is that data should not be published if they can be traced back to the respondent, i.e. figures for which less than three respondents make up the foundation for a cell in the table, figures where one respondent represents more than 90 per cent of the total value, or figures where two respondents represent at least 95 per cent of the total value.
Unpublished data: Edited data that are not published are subject to confidentiality. This implies that they are unavailable to users without explicit approval. Such agreements only apply to internal users.
-
Comparability over time and space
-
Historical series classified according to SIC2007 and dating back to 1990 and 1995 are available.
Users must ensure that they use the same version of SIC when making comparision over time. As from January 2009 SIC 2002 is replaced by SIC 2007.
Finished historical series classified according to SIC2002 and dating from 1986 to 2008 are also available in StatBank Norway.
Accuracy and reliability
-
Sources of error and uncertainty
-
Measurement errors are caused by the questionnaire or the respondent’s internal system for obtaining the data. Examples are ambiguous questions, misunderstood questions or erroneous data from the respondents. In the Production Volume Index, errors in reported figures may originate from misunderstandings of the concept of production or the definition of the main variables used in the survey. Unambiguous guidelines and definitions are therefore emphasised.
Processing errors may occur when Statistics Norway processes the data. However, data from electronic questionnaires are loaded directly into the system. Considerable deviations from previous periods will normally become evident during the editing of the data.
Errors of non-response refer to errors that either occurs due to missing questionnaires or empty boxes in the questionnaire. The response rate after the deadline has expired is around 95 per cent. Critical units, i.e. units that have a considerable impact on the results on a detailed level aggregation (2-digit NACE), are contacted by telephone. Missing questionnaires or empty boxes in the questionnaires are mainly imputed automatically, based on previous reported figures (cold-deck method). No calculations of non-response errors have been made.
Sampling errors refer to uncertainties that occur in sample surveys as opposed to full counts. The sample variance equals the expected deviation between a sample survey and a full count. The Production Volume Index covers about 80 per cent of the turnover in the population (2016). In order to ensure a high degree of relevance at the lowest cost possible, great effort is put into including all large units in the population in the sample. No calculations of the sampling errors for the survey have been conducted. The survey will normally try to correct for major new enterprises in the population by routine checks.
Coverage errors refer to errors in registers that define the population, in this case the Central Register of Establishments and Enterprises. As a result of such errors, units may be incorrectly included in or excluded from the population. Other problems are related to delays in the update of the registers and units that are incorrectly classified. From experience, a limited share of the population units is incorrectly classified. This is usually due to misleading or insufficient information at a certain time. No calculations on the size and significance of such errors have been carried out. However, such errors are not considered to be greater than for other quantitative short-term statistics.
Modelling errors are mainly related to problems with the seasonal adjustment of time series. Such problems are caused by deviation from the conditions that form the basis for the model used. Typical problems are related to movable public holidays such as Christmas and Easter. X12-ARIMA generates a number of indicators that are used to evaluate the quality of the seasonal adjustment. These indicators have identified a stable seasonal pattern.
-
Revision
-
Not relevant