Konsumprisindeksen
Hvor mye påvirker enkeltgrupper den totale prisendringen i KPI?
Publisert:
For å forstå bevegelsene som skjer i Konsumprisindeksen (KPI) er det viktig å analysere bidraget eller effekten fra enkeltgrupper på den totale prisendringen i indeksen. I denne artikkelen ser vi nærmere på hvor mye prisendringer fra enkeltgrupper påvirker den totale prisendringen i KPI.
- Tallene er hentet fra
- Konsumprisindeksen
- Artikkelen er en del av serien
- Konsumprisindeksen (arkiv)
Bidraget fra enkeltgrupper til totalen i Konsumprisindeksen avhenger av størrelsen på prisendringen, det vil si retningen på prisendringen og hvor mye prisene har endret seg over en definert periode, og av gruppenes betydning eller vektlegging i KPI (dvs. gruppenes utgiftsandel av private konsumenters totale utgift). Enkeltgrupper vektlegges ulikt, jo større vekt eller betydning en gruppe har, jo høyere blir bidraget fra denne gruppen til endringen i KPI, gitt lik prisendring. Eksempelvis vil prisene for matvarer vektlegges langt mer enn prisene for rengjøringsprodukter. Dersom begge gruppene skal bidra like mye til den totale endringen i KPI må prisendringen på rengjøringsprodukter være langt større enn prisendringen på matvarer. Summen av alle bidragene til enkeltgruppene i KPI er lik den totale KPI prisendringen og bidragene kan være både positive og negative. Bidraget fra en enkeltgruppe er ikke påvirket at prisutviklingen på andre enkeltgrupper.
Bidraget fra en enkeltgruppe i en definert periode til prisendring i KPI-totalen, kan sies å være den endringen som ville ha skjedd i totalindeksen, om kun denne ene enkeltgruppen hadde vist prisendring samtidig som prisene i alle andre enkeltgrupper i KPI hadde forblitt uendret og alle vekter hadde forblitt uendret.
En forenklet måte å beregne enkeltgruppers bidrag til total KPI er å multiplisere enkeltgruppens vekt og prisendring i prosent. For eksempel vil en konsumgruppe som veier 4 prosent i KPI og viser en prisoppgang på 5 prosent grovt sett bidra med 0,2 prosentpoeng (4 prosent x 5 prosent) til den totale prisendringen. For å beregne bidrag fra enkeltgrupper til endring i total KPI på en mer korrekt måte må dette ses i sammenheng med hvordan prisindeksene våre er bygd opp og avhenger av hvilken periode man ønsker å beregne bidraget for.
Bidrag fra en måned til neste
La oss bruke matvareprisene som et eksempel. Fra april til mai 2017 steg matvareprisene med 3,1 prosent, mens totalindeksen i KPI økte med 0,2 prosent i samme periode. Hvordan kan man beregne bidraget fra matvareprisene til endringen i den totale KPI? Eller spurt på en annen måte, i hvor stor grad kan økningen i totalindeksen på 0,2 prosent tilskrives oppgangen på 3,1 prosent i matvareprisene? For å finne svaret på dette er det viktig at bidragsberegningene gjøres på prisindekser med samme referanseperiode (prisreferansemåned), dvs. alle prisindekser må beregnes iht. forrige desember=100. KPI publiseres på SSBs nettsider som en kjedet langtidsindeks med 2015=100 som referanseår, som vist nedenfor.
| Langtidsindekser (2015=100) | |||
| desember 2016 | april 2017 | mai 2017 | |
| Matvarer | 99,8 | 99,5 | 102,6 |
| Total | 104,4 | 105,2 | 105,4 |
KPI er bygd opp av en serie med korttidslenker som går over tolv måneder. Hver korttidslenke har desember år t-1 som sammenligningsmåned
(prisreferansemåned). Indekser som beregnes innenfor denne lenken mot desember år t -1 kalles korttidsindekser. For å finne
bidrag fra enkeltgrupper til endringen i KPI må de kjedede langtidsindeksene omregnes til «ukjedede» indekser eller korttidsindekser.
Dette gjøres, gitt vårt eksempel, ved å dividere kjedet indeks for matvarer i mai 2017 med kjedet indeks for desember 2016;
Dette viser vi i tabellen under.
| Ukjedede indekser (korttidsindekser) | Vekt 2017 | |||
| desember 2016 | april 2017 (desember = 100) |
mai 2017 (desember = 100) |
||
| Matvarer | 100 | 99,7 | 102,8 | 114 |
| Total | 100 | 100,8 | 101,0 | 1000 |
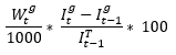
For å finne bidraget av endringen i matvareprisene fra april til mai 2017 til endringen totalt sett, må vi ta hensyn til vekten matvarer har i KPI og se denne opp mot prisendringen for matvarer sett i sammenheng med KPIs totalindeks. Med formler kan matvarebidraget til endringen i total KPI beskrives følgende;

Der Wtg står for enkeltgruppens vekt i periode t
Itg og Itg-1 står for enkeltgruppens indeks i hhv periode t og periode t-1
ItT-1 står for KPI totalindeks i periode t-1
I vårt eksempel vil bidraget fra matvareprisene til den totale prisveksten bli beregnet på følgende sett;

Altså bidrar matvareprisene med hele 0,35 prosentpoeng til oppgangen på 0,2 prosentpoeng i totalindeksen fra april til mai 2017. Dette betyr at andre enkeltgrupper bidrar negativt og demper prisveksten. I tabellen nedenfor er bidragene til KPIs månedsendring fra april til mai 2017 fordelt på KPIs tolv hovedgrupper.
Tabell 3. Bidrag til prisendring i KPI fra april til mai 2017
| COICOP | Vekt | Månedsendring i KPI (april til mai 2017) |
Bidrag til KPIs månedsendring |
| KPI Totalindeks | 1000,0 | 0,2 | 0,200 |
| 01 Matvarer og alkoholfrie drikkevarer | 129,7 | 2,9 | 0,372 |
| 02 Alkoholholdige drikkevarer og tobakk | 41,2 | 0,1 | 0,004 |
| 03 Klær og skotøy | 52,0 | -0,3 | -0,014 |
| 04 Bolig, lys og brensel | 227,6 | -0,1 | -0,021 |
| 05 Møbler, husholdningsartikler og vedlikehold av innbo |
67,3 | 0,2 | 0,013 |
| 06 Helsepleie | 32,4 | 0,3 | 0,009 |
| 07 Transport | 158,8 | -0,9 | -0,138 |
| 08 Post- og teletjenester | 23,0 | -0,4 | -0,009 |
| 09 Kultur og fritid | 115,2 | 0,1 | 0,011 |
| 10 Utdanning | 5,6 | 0,0 | 0,000 |
| 11 Hotell- og restauranttjenester | 57,7 | 0,0 | 0,000 |
| 12 Andre tjenester | 89,4 | -0,3 | -0,026 |
Summen av alle bidragene gir månedsendringen. Avrunding kan gi noe avvik.
Bidrag til tolvmånedersendringen i KPI – litt mer komplisert
Normalt oppdateres vekter i KPI hvert år i januar i forbindelse med oppstart av ny korttidslenke. Når vektene endres blir det viktig å ta hensyn til dette og beregningene kompliseres noe. På formelform kan dette skrives slik:
Der Wtg-12 er enkeltgruppens vekt i måned t året før
Itg-12 er enkeltgruppens indeks i måned t året før
ILg er enkeltgruppens indeks i desember i inneværende års prisreferansemåned (dvs. prisreferansemåneden for aktuell måned t)
ItT-12 er KPI totalindeks i måned t året før
ILT er KPI totalindeks i desember i inneværende års prisreferansemåned
Bidraget fra enkeltgruppen må altså beregnes i flere ledd og har en noe annen oppbygging enn ved de månedlige bidragsberegningene. Årsaken til dette er at tolvmånedersendring går utover kortidslenkene og de faste årlige vektene.
Om vi ønsker å se på bidraget fra endringen i matvareprisene fra mai 2016 til mai 2017 til den totale tolvmånedersendringen i KPI trenger vi korttidsindekser basert på foregående desember =100 (dvs. indeks for mai og desember 2016 beregnes mot indeks i desember 2015 mens indeks for mai 2017 er beregnet ift. indeks i desember 2016):
| Korttidsindekser (ukjedede indekser basert på sist desember) | Vekt 2016 | Vekt 2017 | ||||
| desember 2015 | mai 2016 | desember 2016 | mai 2017 | |||
| Matvarer | 100 | 103,6 | 101,3 | 102,8 | 114,7 | 114 |
| Total | 100 | 102,3 | 103,5 | 101,0 | 1000 | 1000 |
Med vårt eksempel vil bidraget fra prisene på matvarer til tolvmånedersendringen i KPI bli beregnet på følgende måte;

Altså, matvareprisene bidrar med å trekke prisveksten opp med 0,07 prosentpoeng fra mai 2016 til mai 2017. I tabellen nedenfor er bidragene til KPIs tolvmånedersvekst i mai 2017 fordelt på de tolv hovedgruppene i KPI. Gitt at vi har en positiv prisvekst over tid, vil de fleste hovedgruppene, som forventet, vise positive bidrag.
Tabell 5. Bidrag til prisendring i KPI fra mai 2016 til mai 2017
| COICOP | Vekt | Tolvmånedersendring i KPI (mai 2016-mai 2017) |
Bidrag til KPIs tolvmånedersendring |
| KPI Totalindeks | 1000,0 | 2,1 | 2,161 |
| 01 Matvarer og alkoholfrie drikkevarer | 129,7 | 0,7 | 0,094 |
| 02 Alkoholholdige drikkevarer og tobakk | 41,2 | 2,3 | 0,097 |
| 03 Klær og skotøy | 52,0 | 1,9 | 0,096 |
| 04 Bolig, lys og brensel | 227,6 | 3,7 | 0,842 |
| 05 Møbler, husholdningsartikler og vedlikehold av innbo |
67,3 | -0,5 | -0,032 |
| 06 Helsepleie | 32,4 | 3,0 | 0,093 |
| 07 Transport | 158,8 | 1,0 | 0,157 |
| 08 Post- og teletjenester | 23,0 | 0,2 | 0,007 |
| 09 Kultur og fritid | 115,2 | 3,3 | 0,366 |
| 10 Utdanning | 5,6 | 5,3 | 0,029 |
| 11 Hotell- og restauranttjenester | 57,7 | 3,7 | 0,210 |
| 12 Andre tjenester | 89,4 | 2,3 | 0,202 |
Summen av alle bidragene gir tolvmånedersveksten. Avrunding kan gi noe avvik.
Endringer i tolvmånedersveksten
Ved å sammenligne bidragene fra ulike enkeltgrupper eller konsumgrupper over ulike perioder er det også mulig å se på bidrag til endringer i tolvmånedersveksten til KPI. For å analysere endringer i veksten over tid kan man se på prosentvis endring i indeksen måned t og sammenligne denne med samme måned året før (måned t-12). Generelt kan vi si at enkeltgrupper vil gi et positivt bidrag til den totale tolvmånedersveksten om enkeltgruppens prosentvise månedsendring dette året er mer positivt eller mindre negativt enn samme måned året før. Tilsvarende vil enkeltgrupper gi et negativt bidrag til den totale tolvmånedersveksten, om enkeltgruppens prosentvise månedsendring dette året er mer negativt eller mindre positivt enn samme måned året før. I mai 2017 bidro prisene på matvarer og alkoholfrie drikkevarer til å trekke opp tolvmånedsendringen ettersom prisene på matvarer og alkoholfrie drikkevarer steg langt kraftigere fra april til mai 2017 enn fra april til mai 2016.
La oss si at vi beregner bidraget fra hver hovedgruppe til tolvmånedersveksten i KPI og gjør det samme for tidligere perioder, eksempelvis måneden før, så kan bidraget til endringen i tolvmånedersveksten i KPI mellom de to månedene beregnes ved å trekke bidragene fra hverandre. Med vårt eksempel betyr dette følgende; bidraget fra prisene på matvarer og alkoholfrie drikkevarer til tolvmånedersveksten i total KPI var på 0,09 prosentpoeng i mai 2017. I måneden før var tilsvarende bidrag på -0,27 prosentpoeng. Bidraget i mai minus april-bidraget er da bidraget til endringen i tolvmånedersveksten i KPI fra april til mai 2017; 0,09 - (-0,27) = 0,36 prosentpoeng. Fra april til mai 2017 falt tolvmånedersveksten i KPI total med 0,1 prosentpoeng og her må 0,36 prosentpoeng tilskrives prisutviklingen på matvarer og alkoholfrie drikkevarer.
I sjeldne tilfeller kan det skje at bidrag til endring i tolvmånedersveksten virker å være det motsatte av hva man forventer fra selve prisendringene. Dette kan inntreffe om det er store skift i vektene mellom år. Ved årlige vektoppdateringer er det normalt kun mindre skift i vektene fra år til år.
Bidragsberegninger ved hjelp av prisindekser med og uten enkeltgrupper
En alternativ metode er å sammenligne KPI med og uten den enkelte konsumgruppen. Differansen mellom KPI med og uten den spesifikke gruppen, vil vise priseffekten fra denne konsumgruppen til en total KPI. Dette illustrerer vi med et eksempel under.
SSB publiserer på sine nettsider blant annet KPI justert for avgiftsendringer (KPI-JA) og KPI justert for avgiftsendringer og uten energivarer (KPI-JAE) for å kunne si noe om effekten av avgiftsendringer og energivarer på KPI over tid.
I mai 2017 var tolvmånedersveksten i KPI-JAE på 1,6 prosent, mens total KPI steg med 2,1 prosent i samme periode. Differansen mellom seriene viser at avgiftsendringer og energivarer bidro til å trekke KPI opp med 0,5 prosentpoeng (2,1 prosent-1,6 prosent=0,5 prosentpoeng).
Kontakt
-
Ragnhild K. Nygaard
-
SSBs informasjonstjeneste